Dalila Kovacs Research Interests

Platform Molecules

Cellulose and hemicelluloses are abundant precursors to liquid fuels and chemicals. Major routes from sugars to chemicals involve compounds known as platform molecules, used as precursors to a variety of chemicals, currently obtained from oil-based feedstock.

Kovacs research: progress arrow

5-hydroxy-methylfurfural (HMF)

This project approaches divergently transformation of furanic intermediates as platform molecules into useful chemicals in heterogeneous catalytic conditions. 5-hydroxy-methylfurfural (HMF)* is also used in the synthesis of biofuels. HMF qualifies as a platform molecule because of the variety of products that be directly derived from it. It can be hydrogenolysed to 2,5dimethylfuran (DMF), which can be further hydrogenated to form 2,5dimethyltetrahydrofuran (DMTHF). Both DMF and DMTHF are promising fuel additives, and their syntheses are a current hot topic of investigation.
*Mitra, J., Zhou, X., & Rauchfuss, T. Green Chem. 17, 307313, 2015.

5-hydroxy-methylfurfural reaction schematics

Erythritol and Threitol Hydrogenolysis

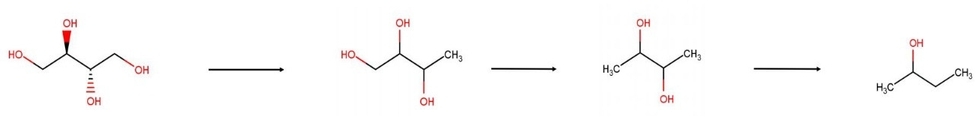
This project explored the hydrogenation of erythritol and threitol in water, using transition metal catalysts, aiming to obtain various C4-C1-carbon building blocks, especially C4 - Butanols** known as alternatives to oil-derived resources for many industrial products. Different aspects of the project focus on catalysts’ efficiency, on mechanistic aspects, or on computational modeling of experimental pathways.

** Amada et al., Production of Biobutanediols by the Hydrogenolysis of Erythritol, ChemSusChem. 5,1991-99, 2012

Erythritol reaction schemes

What you will work with/will learn to utilize

HPLC

HPLC

GC-MS

GC-MS

NMR

NMR

Parr Reactor

Parr Reactor



Page last modified June 15, 2018